DistCalc.com uses an algorithm which calculates the great-circle distance, also known as geodesic or orthodromic distance. The surface where this distance is calculated on is the WGS84 ellpsoidal. May be you know this from your recreational GPS device. The great-circle distance is the shortest connection on the surfacy of a general geometric body. In this case it is the rotational ellipsoidal of WGS84.

Using an ellipsoidal model for Earth, DistCalc provides higher accuracy than other (comparable) tools on the internet which mostly use a sphere. But this model requires a more advanced (and more complex) mathematical approach. Although the model is quite good, there is some uncertainty remaining (model errors, numerical effects, accuracy of coordinates). Thus, the calculated distance may be different from the true distance outside your window. That's why I cannot assure the correctness of the result by 100%.

Geocoding

DistCalc.com needs coordinates of your starting point and your destination to do anything for you (except looking nice and clean). If you already have WGS84 coordinates just enter them into the form and check your result. Everything will be fine to process your query. But if you only have for example addresses of the points, DistCalc needs to extract coordinates out of this information. This is done by the magnificent Google™ Maps API service which achieves the transformation by clever database queries and tricky interpolation algorithms. Once the coordinates are available DistCalc can determine the geodesic distance between your starting point and your destination.

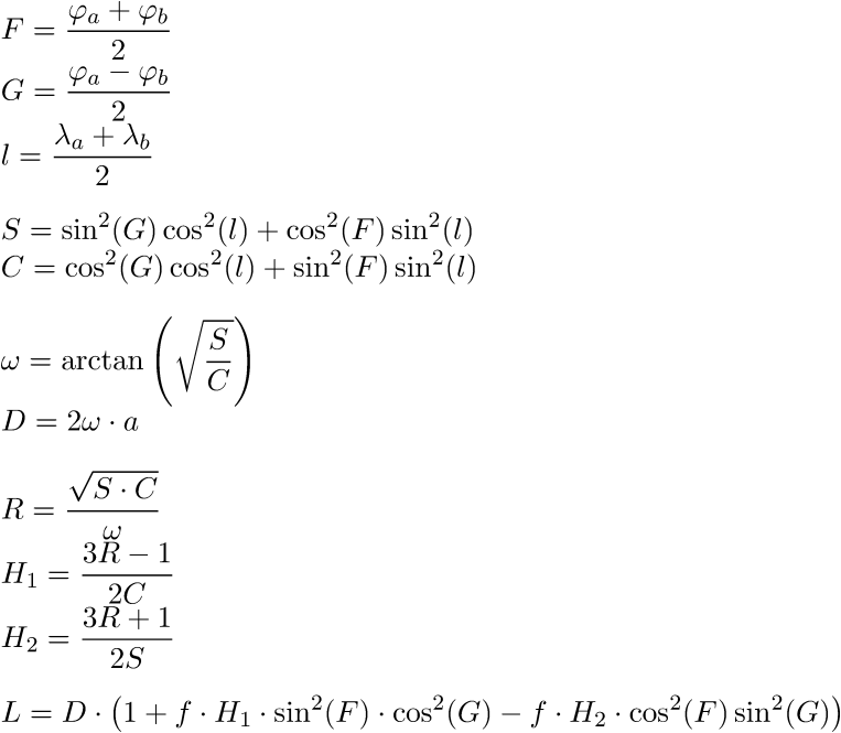
Formulae

The algorithm consists of a few mathematical equations. Besides your coordinates (φ,λ) some constants have to be defined (e.g. semi-major axis a and oblateness f of WGS84 ellipsoidal). With those data nothing can prevent DistCalc from calculating your great-circle distance. For nerds, engineers, scientists, anybody who cares, I attached an image of the formulae below this text.

Formulae

P.S: Since I am German, please note that my algorithm works with metric sizes. I hope you still use my page now you know this dark secret of DistCalc.com. :-)

© 2012 - 2026 distcalc.com | Changelog | Contact